목표
들어가기 전
본 글에서 직접적으로 설명하지 않지만, 언급하고 있는 내용입니다.
기울기
기울기 공식
기울기 = (y 변화량) / (x 변화량)

기울기와 y 절편을 알고 있을 때 직선의 방정식 구하는 법
직선의 방정식을 구하는 다른 방법들은 아래에 있음.

직선의 방정식
직선의 방정식이란?
좌표평면 위의 직선을 나타내는 식

직선의 방정식을 구하는 방법
1. (직선을 지나는)한점과 기울기가 주어진 직선의 방정식

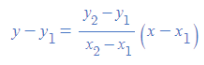
2. 두 점을 지나는 직선의 방정식
2.1. $x_{1} ≠ x_{2}$일 때

2.2. $x_{1} = x_{2}$일 때

문제
두 점 (-4, 3), (1, 8)을 지나는 점 (a, 5)를 지날 때, a의 값을 구하시오.
1. 기울기를 구한다.

2. 한 점과 기울기를 이용하여 직선의 방정식을 구한다.
(-4,3) 또는 (1, 8)과 기울기 1을 이용하여 구하기.
y - 3 = 1 * (x - (-4))
y = x + 7
3. a 구하기
5 = x + 7
x = 2 // a는 2
3. x 절편과 y 절편이 주어진 직선의 방정식

문제
x 절편이 6이고, y 절편이 -2인 직선 위에 두 점 (a, -1), (4, b)가 있을 때, ab의 값을 구하시오.
1. 공식에 x 절편과 y 절편 대입

2. (a, -1) 대입하여 a 구하기

3. (4, b) 대입하여 b 구하기

4. ab 값 구하기

※x 절편: 그래프가 x축과 만나는 점 (y=0), y 절편: 그래프가 y축과 만나는 점 (x=0)
벡터 형태의 직선의 방정식
게임 개발은 벡터 형태로 된 방정식을 사용한다.

두 점이 주어진 경우의 직선의 방정식

매개변수 t의 범위에 따라 선의 유형이 정의된다. (직선, 반직선, 선분)
- 0 <= t <= 1: 선분
- t = 1: 선분(시작점 0, 끝점1)
- 0 <= t 또는 0 >= t: 반직선
- t = 0: 점

두 직선의 교차점
직선의 교차점이란?
두 직선이 만나는 점, 두 직선의 방정식을 동시에 만족하는 점 (x, y)를 의미함.
직선의 방정식 형태

두 직선의 교차점을 구하는 법
위의 직선의 방정식으로 구한 t값을 바탕으로 교차를 판단한다.
1. 벡터를 이용한 교차점 구하기
- 두 선분을 벡터로 표현한 뒤 외적을 통해 교차 여부를 판단한다.
- 외적 결과과 0이면 추가적인 검토, 양수나 음수면 교차했음을 의미한다.
- 두 직선이 교차한다면 $l_{0} = l_{1}$이 성립함으로 식을 통해 교차점을 구한다.

2. 행렬을 이용한 교차점 구하기 (연립방정식)
- 두 직선의 방정식을 연립방정식 → 행렬로 표현한다.


- 행렬식을 이용하여 교차 여부를 판단한다.

- 아래식을 이용하여 교차점을 구한다.

언제 사용하는가?
1. 2D 게임 개발 시 직사각형이 아닌 마름모 등 특정하지 않은 모양의 사각형과의 충돌에서 사용
(사각형의 모든 변들(선분)에 대한 직선의 방정식을 만들고, 직선 교차를 검사하여 충돌 검사)
2. 야구에서 투수의 궤적과 배트의 교차 지점으로 타격 결과 결정
3. FPS 게임의 총 발사에서 총알과 물체의 충돌 검사에 사용
(직선과 평면의 방정식에서 직선 교차가 사용됨.)
평면의 방정식
참고문헌
'수학' 카테고리의 다른 글
| [3차원 게임을 만드는 수학] 원근 투영 - 투영 변환 행렬(종횡비, 클립 공간, 깊이 값, 원근 나누기, NDC) (0) | 2025.01.11 |
|---|---|
| [게임 콘텐츠의 제작 원리] 아핀공간 (0) | 2025.01.09 |
| [게임 콘텐츠 제작 원리] 내적 (ft. 강체변환) (0) | 2025.01.02 |
| [기초 수학] 행렬과 역행렬 (0) | 2025.01.02 |
| [기초수학] 선형성 (0) | 2024.12.30 |